Główna treść
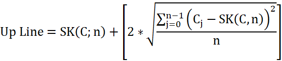
Wstęga Bollingera jest wskaźnikiem zbudowanym w oparciu o zmienność cen. Klasyczna interpretacja mówi, że ruch cen powinien odbywać się wewnątrz ramion wstęgi, jednak ze względu na swoją konstrukcję szerokość wstęgi zmienia się w zależności od stopnia zmienności cen.
Teoretycznie mała szerokość wskazuje na niższe ryzyko inwestycyjne i często poprzedza mocniejsze wybicie. Wyjście poza któreś z ramion powinno implikować dalszy ruch, chociaż w praktyce często następuje ruch powrotny do wnętrza wstęgi.
Ponadto ramiona wstęgi mogą pełnić funkcję wsparć i oporów, co może być pomocne w ustaleniu ruchomych poziomów zleceń stop w systemach transakcyjnych.


