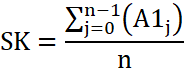
Jeden z najprostszych i najczęściej stosowanych wskaźników. Średnia ruchoma jest linią rysowaną bezpośrednio na wykresie ceny. Liczona jest jako średnia wartości cen (zazwyczaj zamknięcia) z określonego czasu.
Podstawowa analiza opiera się na przecięciach kursu przez średnią. Jeżeli notowania przebijają średnią od dołu otrzymujemy sygnał kupna. Przebicie średniej od góry identyfikowane jest jako sygnał sprzedaży.
Czasami – w celu wyeliminowania błędnych sygnałów – stosuje się kombinację średnich o różnych okresach. Wówczas wstępny sygnał kupna otrzymujemy przy oddolnym przebiciu najkrótszej średniej przez notowania. Za potwierdzenie można uznać przełamanie kolejnej, dłuższej średniej lub przełamanie samych średnich (np. 15-sesyjna przebija 45-sesyjną). Średnie o wydłużonym okresie np. 90-180 sesji oprócz podstawowej funkcji przecięć pomagają identyfikować kierunek trendu, co przydatne jest w np. systemach transakcyjnych.
Wskaźnik można budować w oparciu o różne metody uśredniania, co czyni je mniej lub bardziej wrażliwymi na lokalne zmiany kursów. Podstawowy podział zakłada:
- Zwykła średnia ruchoma
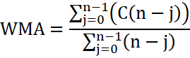
- Średnia ważona (cenom przypisane są odpowiednie wagi – im nowsze notowania tym waga jest wyższa, przy czym poszczególne wagi zmieniają się liniowo)
- Średnia wykładnicza (średnia eksponencjalna) (cenom przypisane są odpowiednie wagi – im nowsze notowania tym waga jest wyższa, przy czym poszczególne wagi zmieniają się wykładniczo)
Najczęściej stosowana jest średnia wykładnicza. Ze względu na swoją konstrukcję (ostatnie notowania mają najwyższą wagę) jej linia nie oddala się tak bardzo od wykresu w momentach gwałtownych zmian cen.
Zwykła średnia ruchoma:

Eksponencjalna (wykładnicza) średnia ruchoma:

Ważona średnia ruchoma:

