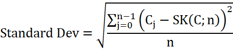
Standard Deviation

Główna treść

Odchylenie standardowe jest wykorzystywane jako statystyczna miara zmienności kursu.

Wskaźnik rzadko jest wykorzystywany samodzielnie. Częściej pojawia się jako składnik w konstrukcji bardziej wyrafinowanych narzędzi np. wstęgi Bollingera.

Interpretacja opiera się na założeniu, że kształtowaniu lokalnych maksimów towarzyszu duża zmienność wahań, co przekłada się na wzrost wskaźnika. I odwrotnie, niskie wartości sygnalizują osiąganie lokalnego minimum.

Standard Deviation formuła

 

Standard Deviation wykres

Powrót
1/1