Średnie ruchome są wykorzystywane w statystyce m.in. do:
- Wyodrębnienia wahań sezonowych, krótkookresowych, koniunkturalnych i przypadkowych[2]
- Wyodrębnienie tendencji rozwojowej[3]. Możemy mówić w tym przypadku o zastosowaniu filtru liniowego, dzięki któremu uzyskujemy przekształcenie danego szeregu czasowego na nowe dane, umożliwiające łatwiejszą identyfikację specyficznych cech pierwotnych szeregów. Jedną z operacji oddzielenia sygnału od szumu jest stosowanie procesu wygładzenia[4]:

gdzie {ar} jest zbiorem operacji filtrowania.
Wygładzając lokalne wahania i szacując lokalne średnie należy unormować wagi tj. zapewnić równość

Różnego rodzaju średnie kroczące[5] są doskonałym wskaźnikiem śledzenia trendu a jednocześnie pozwalają na odfiltrowanie zbędnego szumu w postaci przypadkowych zmian cen[6]. Średnie nie podlegają emocjom, podobnie jak uczestnicy rynku i w konsekwencji wyznaczają właściwy trend. Natomiast z matematycznego punktu widzenia operacja brania średniej ruchomej odpowiada zastosowaniu operacji liniowego filtru do procesów białego szumu[7].
Analiza techniczna posługuje się kroczącymi średnimi obliczonym dla: cen zamknięcia (C), otwarcia (O), ceny najwyższej (H), ceny najniższej (L), średniej ceny dnia[8], lub tzw. ceny typowej[9].
Analiza techniczna w latach 60-tych i 70-tych wykształciła cały szereg średnich ruchomych:
- prosta średnia ruchoma (Simple Moving Average) obliczona dla N kolejnych cen zamknięcia (oznaczanych jako Ci) jest zdefiniowana jako[10]:

- liniowo ważona (Weighted Moving Average) - waga zmienia się wprost proporcjonalnie wraz ze wzrostem N:

- wykładnicza (Exponential Moving Average) - będąca modyfikacją liniowo ważonej średniej, przy czym stosowane wagi nie zwiększają się liniowo. Nadaje ona większą wagę bardziej aktualnym cenom:[11]

gdzie a<1.
Innym sposobem obliczenia tej średniej może być wzór rekurencyjny:

gdzie: EMA-1 - wartość średniej w poprzednim okresie, a parametr α<1
W analizie technicznej stosuje się średnie kroczące o różnej długości. Przykładem średnich ruchomych najczęściej wykorzystywanych na giełdzie amerykańskiej są[12]:
- Długoterminowe (np. 200 sesyjna)
- Średnioterminowe (np. 100 sesyjna)
- Krótkoterminowe (np. 5, 15 i 20 sesyjna)
Bardzo często w analizie dokonywanej za pomocą średnich ruchomych wykorzystuje się liczby wchodzące w skład ciągu liczb Fibonacciego[13]: np. średnie ruchome 13, 21 lub 34 sesyjne[14].
Generalnie średnie kroczące znajdują zastosowanie jako wskaźniki potwierdzenia zmiany trendu (oscylatory opóźnione)[15]. Bardzo często stają się one liniami wsparcia i oporu dla poszczególnych ruchów cen akcji. Istnieje też wiele technik inwestycyjnych opartych na przecięciu się dwu średnich ruchomych: tzw. średniej szybkiej (krótkoterminowej) i średniej wolnej (długoterminowej). Przebicie średniej wolnej przez średnią szybką od dołu stanowi sygnał kupna - w technikach japońskich oznaczany jako złoty krzyż. Natomiast przebicie średniej wolnej przez szybszą od góry stanowi wskazanie sprzedaży - w terminologii japońskiej jest to krzyż śmierci[16].
Średnie ruchome stanowią podstawę konstrukcji wielu oscylatorów analizy technicznej[17] - najbardziej klasycznym przykładem może być MACD[18]. Analitycy techniczni również posługują się średnimi ruchomymi, w których za N przyjmuje się połowę cyklu otrzymanego przy zastosowaniu analizy spektralnej dla danego papieru wartościowego - analizy Fouriera[19]. Średnie ruchome znajdują zastosowanie również przy analizie odchyleń wolumenu obrotu od tzw. obrotu przeciętnego.
Na średnie ruchome możemy spojrzeć z dwu punków widzenia:
- Każdy element średniej ruchomej stanowi określoną (prostą, ważoną etc...) N - elementową kombinację cen akcji.
- W ciągu N elementów składających się na średnią ruchomą zawarta jest cała wiedza (czy też pamięć) o wszystkich cenach instrumentu podstawowego (z dokładnością do pierwszych N-1 sesji, dla których średnia ruchoma nie może być obliczona).
Do najważniejszych zalet średnich ruchomych zaliczyć należy:
- Filtrowanie przypadkowych ruchów cenowych.
- Wskazywanie trendu głównego (dominującego dla określonego kroku uśredniania). Średnie nie podlegają emocjom, podobnie jak uczestnicy rynku i w konsekwencji wyznaczają właściwy trend.
- Określanie siły trendu przy pomocy pomiaru kąta nachylenia średniej w stosunku do osi czasu.
Ostatnie lata, a w tym rozwój techniki komputerowej przyniosły dużą popularność nowym rodzajom średnich ruchomych:
Adaptacyjna (Adaptive Moving Average) - składająca się z dwu średnich wykładniczych, co w konsekwencji daje małe opóźnienie reakcji na zmiany zachodzące w szeregu czasowym. Gdy średnia wykładnicza jest zbyt czuła, generowane przez nią sygnały są w przeważającej części niepotrzebne i należy wtedy zwiększyć jej długość lub właśnie wygładzić za pomocą kolejnej średniej wykładniczej:

gdzie: EMAt jest średnią wykładniczą. W celu jej wyznaczenia konieczne jest dwukrotne wyliczenie średniej wykładniczej:
- pierwszy raz z pierwotnego szeregu czasowego:

- drugi raz z otrzymanego w pierwszym kroku szeregu, w którym miejsce parametru a zajmuje n; otrzymany szereg jest szeregiem wartości adaptacyjnej średniej ruchomej odtwarzającym wygładzone wartości szeregu pierwotnego[20].
Średnia ruchoma MESA (MESA Adaptive Moving Average- tj. MAMA) - oparta na przekształceniu Hilberta tj. fazie zmiany wektora cyklu rynkowego (fazora)[21]. Metoda ta wykorzystuje średnią ruchomą wykładniczą:

w której zmiana parametru α jest uzależniona od fazy zmiany wektora cyklu rynkowego. W ten sposób średnia ruchoma wykładnicza staje się średnią adaptacyjną.
Wstawiając do wzoru na średnią ruchomą wykładniczą połowę parametru α wykorzystanego do konstrukcji średniej MAMA tworzy się tzw. Following Adaptive Moving Average (FAMA). Średnie FAMA i MAMA są ze sobą zsynchronizowane, natomiast zmiana w pionie wartości średniej FAMA jest mniejsza niż analogiczna zmiana dla średniej MAMA. W ten sposób otrzymujemy parę średnich ruchomych, które przecinają się jedynie w sytuacjach zapowiadających istotny ruch rynku. System transakcyjny oparty na przecięciach średnich MAMA i FAMA charakteryzuje się małą ilością fałszywych sygnałów[22].
Trójkątna - będąca modyfikacją liniowo ważonej średniej, przy czym stosowane wagi nie zwiększają się liniowo: wagi poszczególnych cen systematycznie rosną od lewego brzegu ramy czasowej do jej środka, aby następnie maleć do prawego skraju. Metoda ta nadaje większą wagę cenom w środku okienka czasowego[23].
Sinusoidalnie wygładzona - waga i-tej ceny w wybranej ramie czasowej zmienia się jak funkcja określonego argumentu.
Zmienna - wykładniczo ważona średnia ruchoma, która automatycznie dostosowuje się do zmienności ceny (mierzonej indeksem zmienności - np. odchyleniem standardowym); im większa zmienność cen tym czynnik wygładzający jest większy i tym większa waga przypisywana jest ostatniej cenie. Zmienna średnia ruchoma może być szczególnym przypadkiem zmiennej adaptacyjnej.
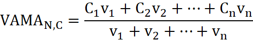
Ważona wolumenem (VAMA) - oparta jest na wykładniczych średnich ruchomych, które są często bardziej pomocne niż proste kroczące, zwłaszcza przy identyfikacji punktów zwrotnych; średnie ruchome ważone wolumenem stosuje się zazwyczaj dla cen zamknięcia lub też dla ceny średniej z danej sesji.

gdzie Ci i vi oznaczają odpowiednio cenę i wolumen na i-tej sesji[24]. Badania statystyczne na giełdzie amerykańskiej pokazały, że stosowanie średniej ruchomej ważonej wolumenem w stosunku do inwestycji przeprowadzonych w oparciu o zwykłą średnią ruchomą, było najlepsze w przypadku akcji o średniej kapitalizacji i małym wolumenie obrotu oraz akcji o małej kapitalizacji i wysokim współczynniku beta[25].
Dzięki średniej ruchomej ważonej wolumenem możemy zdefiniować ruchome, tj. podążające za ceną, poziomy wsparcia i oporu dla n sesyjnego okna:[26]

gdzie:
- Poziom0,n - poziom wsparcia lub oporu w oknie czasowym n sesyjnym
- C0 - cena średnia w dniu dzisiejszym
- C-n+1 - cena średnia n sesji temu
- v0 - wolumen w dniu dzisiejszym
- v-n+1 - wolumen n sesji temu
- V0 - skumulowany wolumen w pierwszym oknie czasowym
- V-n+1 - skumulowany wolumen w n dniowym oknie czasowym
Wybór okna czasowego wpływa na to, czy otrzymany Poziom0,n będzie wsparciem lub oporem. Przykład zastosowania takiego rozwiązania przedstawiony został na rys. 1. Poziom oporu 1 w analizowanym okresie dość dobrze wyznaczał punkty zwrotne. Podobnie jak poziomy wsparcia 1, 2 i 3.
Rysunek 1. Wykorzystanie poziomów wsparcia i oporu w oparciu o skumulowany wolumen
na przykładzie akcjogramu Osicom Technologies (FIBR) z okresu lipiec - czerwiec 2000.

Źródło: Opracowanie własne.
Elastyczna ważona wolumenem (eVAMA)[27] - bazująca na tzw. free float, tj. liczby akcji znajdujących się w obrocie[28]:

gdzie:
- N - liczba akcji znajdująca się w obrocie (free float)
- Ct - cena akcji w na sesji t
- vt - wolumen w czasie sesji t
Długość średniej ruchomej zależy w tym przypadku od liczby akcji znajdujących się w obrocie i statystycznie odzwierciedla przeciętną cenę zapłaconą za akcję.
Z ceny zamknięcia określonego dnia tygodnia - inwestor wybiera cenę zamknięcia z określonego dnia tygodnia (zawsze tego samego np. z każdego piątku), która jego zdaniem jest najważniejszą; cenę tylko z tego dnia uśrednia się na przestrzeni kilku tygodni (w wybranej ramie czasowej).
Średnia ruchoma zwykła na wykresie kółko i krzyżyk [29] - obliczona jako punkt środkowy każdej kolumny (składającej się z kółeczek lub krzyżyków). Szczególnie dobrze użyteczne dla sygnalizacji wybicia z bazy[30]. Przecięcie średniej ruchomej dłuższej przez krótszą generuje często wskazanie wcześniej niż wynika to z samej analizy wykresu P&F (utworzenie się formacji zamiany trendu lub przebicie przez cenę linii trendu). Na rys 2. - wskazanie kupna na średnich ruchomych powstaje na poziomie 1,68 podczas gdy z formacji potrójnego dna został on wygenerowany na wysokości 2,05.
Kolejnym krokiem możliwym do zastosowania na wykresach P&F jest obliczanie średnich ruchomych liniowo ważonej i wykładniczej.
Rysunek 2. Wykres P&F dla spółki 7Bulls

Źródło: Opracowanie własne.
Średnia ruchoma ważona wolumenem na wykresie kółko i krzyżyk - dla każdej z kolumn wykresu P&F obliczamy wg wzoru:

gdzie:
- C1,...,Cn - ceny w danej kolumnie
- vi - wolumen odpowiadający i - tej cenie z analizowanej kolumny
Przykład obliczenia średniej ruchomej ważonej wolumenem dla pojedynczej kolumny na wykresie kółko i krzyżyk został zamieszczony w tab. 1.
Wartość średniej ruchomej zwykłej na wykresie P&F w tym samym przykładzie, ale bez uwzględnienia wagi wolumenu, wyniosłaby dla analizowanej kolumny:

Uwzględnienie wolumenu w obliczeniach średniej ruchomej na wykresie P&F pozwala na wychwycenie negatywnych dywergencji wolumenowych.
Tabela 1. Przykład obliczenia średniej ruchomej ważonej wolumenem na wykresie P&F
Cena w kolumnie
15
16
17
18
Wolumen dla ceny w kolumnie
5 000
20 000
500
1 000
Cena * wolumen
75 000
320 000
8 500
18 000
| Cena w kolumnie | 15 | 16 | 17 | 18 |
| Wolumen dla ceny w kolumnie | 5 000 | 20 000 | 500 | 1 000 |
| Cena * wolumen | 75 000 | 320 000 | 8 500 | 18 000 |
źródło: Opracowanie własne
Wolumen dla ceny w kolumnie = 26 500
Cena * wolumen = 421 500
VAMA = 15,91
Pochodna średnia ruchoma (Derivative Moving Average)[31] - stanowiąca modyfikację momentów zawarcia transakcji na danym walorze, koncentrując się nie na momentach przecięcia przez cenę średniej, tylko na sytuacjach, w których średnia zmienia kierunek. Zajęcie pozycji długiej następuje wtedy, gdy poprzednia wartość średniej ruchomej jest najniższą w obrębie czterech ostatnich słupków (świec) - strategia ta doskonale sprawdza się w przypadku, gdy cena tworzy formację V. Zamknięcie pozycji długiej następuje w momencie, gdy wskaźnik procentowej zmiany trendu obliczony dla średniej ruchomej obniży się do minimalnego poziomu określonego przez analityka[32].
Średnia ruchoma o zmiennej długości uśredniania (Variable Interval Moving Averages) - średnia zmieniająca długość uśredniania w zależności od sytuacji rynkowej. Ten typ średniej łączy w sobie wyższą jakość uśredniania przy wykorzystaniu dłuższej średniej ruchomej z szybszym wykrywaniem punktów zwrotnych będących udziałem średniej o krótszym okresie uśredniania. Najłatwiej objaśnić działanie tej średniej na prostym przykładzie. Niech przedział uśredniania średniej ruchomej zmienia się od 2 do 4 jednostek - tab. 2. Startując z przedziałem uśredniania równym 2 oblicza się dla 20 jednostek wszystkie różnice między cenami zamknięcia. Procedurę powtarzamy dla okresów uśredniania 3 i 4. Następnie przeprowadza się normalizację uzyskanych różnic[33]. Kolejny krokiem jest utworzenie oscylatora VIMA (sygnalizacja poziomów wykupienia i wyprzedania), który wskazuje, jaką długość średniej najlepiej użyć dla każdej ceny. Przy wykorzystaniu oscylatora VIMA można wskazać najlepiej dobrane pary średnich ruchomych - szybkiej i wolnej. Dobrze przeprowadzony proces doboru średnich zapewnia powolną zmienność jednej i drugiej wraz z upływem czasu. Gdyby bowiem okazało się, że długości par zmieniają się znacznie z sesji na sesję, technika ta byłaby mało przydatna.
Tabela 2.1 Przykład obliczenia średniej VIMA
1
Cena zamknięcia
2 dniowa różnica
3 dniowa różnica
4 dniowa różnica
10
-
-
-
2
Cena zamknięcia
2 dniowa różnica
3 dniowa różnica
4 dniowa różnica
11
1
-
-
3
Cena zamknięcia
2 dniowa różnica
3 dniowa różnica
4 dniowa różnica
10
-1
0
-
4
Cena zamknięcia
2 dniowa różnica
3 dniowa różnica
4 dniowa różnica
11
1
0
1
5
Cena zamknięcia
2 dniowa różnica
3 dniowa różnica
4 dniowa różnica
12
1
2
1
6
Cena zamknięcia
2 dniowa różnica
3 dniowa różnica
4 dniowa różnica
15
3
4
5
7
Cena zamknięcia
2 dniowa różnica
3 dniowa różnica
4 dniowa różnica
13
-2
1
2
8
Cena zamknięcia
2 dniowa różnica
3 dniowa różnica
4 dniowa różnica
14
1
-1
2
9
Cena zamknięcia
2 dniowa różnica
3 dniowa różnica
4 dniowa różnica
16
2
3
1
10
Cena zamknięcia
2 dniowa różnica
3 dniowa różnica
4 dniowa różnica
18
2
4
5
11
Cena zamknięcia
2 dniowa różnica
3 dniowa różnica
4 dniowa różnica
22
4
6
8
12
Cena zamknięcia
2 dniowa różnica
3 dniowa różnica
4 dniowa różnica
24
2
6
8
13
Cena zamknięcia
2 dniowa różnica
3 dniowa różnica
4 dniowa różnica
19
-5
-3
1
14
Cena zamknięcia
2 dniowa różnica
3 dniowa różnica
4 dniowa różnica
16
-3
-8
-6
15
Cena zamknięcia
2 dniowa różnica
3 dniowa różnica
4 dniowa różnica
16
0
-3
-8
16
Cena zamknięcia
2 dniowa różnica
3 dniowa różnica
4 dniowa różnica
9
-7
-7
-10
17
Cena zamknięcia
2 dniowa różnica
3 dniowa różnica
4 dniowa różnica
4
-5
-12
-12
18
Cena zamknięcia
2 dniowa różnica
3 dniowa różnica
4 dniowa różnica
3
-1
-6
-13
19
Cena zamknięcia
2 dniowa różnica
3 dniowa różnica
4 dniowa różnica
3
0
-1
-6
20
Cena zamknięcia
2 dniowa różnica
3 dniowa różnica
4 dniowa różnica
2
-1
-1
-2
Min
Cena zamknięcia
2 dniowa różnica
3 dniowa różnica
4 dniowa różnica
-
-7
-12
-13
Zasięg
Cena zamknięcia
2 dniowa różnica
3 dniowa różnica
4 dniowa różnica
-
11
18
21
| Dzień | Cena zamknięcia | 2 dniowa różnica | 3 dniowa różnica | 4 dniowa różnica |
|---|---|---|---|---|
| 1 | 10 | - | - | - |
| 2 | 11 | 1 | - | - |
| 3 | 10 | -1 | 0 | - |
| 4 | 11 | 1 | 0 | 1 |
| 5 | 12 | 1 | 2 | 1 |
| 6 | 15 | 3 | 4 | 5 |
| 7 | 13 | -2 | 1 | 2 |
| 8 | 14 | 1 | -1 | 2 |
| 9 | 16 | 2 | 3 | 1 |
| 10 | 18 | 2 | 4 | 5 |
| 11 | 22 | 4 | 6 | 8 |
| 12 | 24 | 2 | 6 | 8 |
| 13 | 19 | -5 | -3 | 1 |
| 14 | 16 | -3 | -8 | -6 |
| 15 | 16 | 0 | -3 | -8 |
| 16 | 9 | -7 | -7 | -10 |
| 17 | 4 | -5 | -12 | -12 |
| 18 | 3 | -1 | -6 | -13 |
| 19 | 3 | 0 | -1 | -6 |
| 20 | 2 | -1 | -1 | -2 |
| Min | - | -7 | -12 | -13 |
| Zasięg | - | 11 | 18 | 21 |
Tabela 2.2 Przykład obliczenia średniej VIMA
1
Cena zamknięcia
2 dniowa różnica
3 dniowa różnica
4 dniowa różnica
10
-
-
-
-
2
Cena zamknięcia
2 dniowa różnica
3 dniowa różnica
4 dniowa różnica
11
0,73
-
-
-
3
Cena zamknięcia
2 dniowa różnica
3 dniowa różnica
4 dniowa różnica
10
0,55
0,67
-
-
4
Cena zamknięcia
2 dniowa różnica
3 dniowa różnica
4 dniowa różnica
11
0,73
0,67
0,67
2,06
5
Cena zamknięcia
2 dniowa różnica
3 dniowa różnica
4 dniowa różnica
12
0,73
0,78
0,67
2,17
6
Cena zamknięcia
2 dniowa różnica
3 dniowa różnica
4 dniowa różnica
15
0,91
0,89
0,86
2,66
7
Cena zamknięcia
2 dniowa różnica
3 dniowa różnica
4 dniowa różnica
13
0,45
0,72
0,71
1,89
8
Cena zamknięcia
2 dniowa różnica
3 dniowa różnica
4 dniowa różnica
14
0,73
0,61
0,71
2,05
9
Cena zamknięcia
2 dniowa różnica
3 dniowa różnica
4 dniowa różnica
16
0,82
0,83
0,67
2,32
10
Cena zamknięcia
2 dniowa różnica
3 dniowa różnica
4 dniowa różnica
18
0,82
0,89
0,86
2,56
11
Cena zamknięcia
2 dniowa różnica
3 dniowa różnica
4 dniowa różnica
22
1
1
1
3
12
Cena zamknięcia
2 dniowa różnica
3 dniowa różnica
4 dniowa różnica
24
0,82
1
1
2,82
13
Cena zamknięcia
2 dniowa różnica
3 dniowa różnica
4 dniowa różnica
19
0,18
0,5
0,67
1,35
14
Cena zamknięcia
2 dniowa różnica
3 dniowa różnica
4 dniowa różnica
16
0,36
0,22
0,33
0,92
15
Cena zamknięcia
2 dniowa różnica
3 dniowa różnica
4 dniowa różnica
16
0,64
0,5
0,24
1,37
16
Cena zamknięcia
2 dniowa różnica
3 dniowa różnica
4 dniowa różnica
9
0
0,28
0,14
0,42
17
Cena zamknięcia
2 dniowa różnica
3 dniowa różnica
4 dniowa różnica
4
0,18
0
0,05
0,23
18
Cena zamknięcia
2 dniowa różnica
3 dniowa różnica
4 dniowa różnica
3
0,55
0,33
0
0,88
19
Cena zamknięcia
2 dniowa różnica
3 dniowa różnica
4 dniowa różnica
3
0,64
0,61
0,33
1,58
20
Cena zamknięcia
2 dniowa różnica
3 dniowa różnica
4 dniowa różnica
2
0,55
0,61
0,52
1,68
Min
Cena zamknięcia
2 dniowa różnica
3 dniowa różnica
4 dniowa różnica
0,73
-
-
0,23
Zasięg
Cena zamknięcia
2 dniowa różnica
3 dniowa różnica
4 dniowa różnica
0,55
-
-
2,77
| Dzień | Cena zamknięcia | 2 dniowa różnica | 3 dniowa różnica | 4 dniowa różnica | |
|---|---|---|---|---|---|
| 1 | 10 | - | - | - | - |
| 2 | 11 | 0,73 | - | - | - |
| 3 | 10 | 0,55 | 0,67 | - | - |
| 4 | 11 | 0,73 | 0,67 | 0,67 | 2,06 |
| 5 | 12 | 0,73 | 0,78 | 0,67 | 2,17 |
| 6 | 15 | 0,91 | 0,89 | 0,86 | 2,66 |
| 7 | 13 | 0,45 | 0,72 | 0,71 | 1,89 |
| 8 | 14 | 0,73 | 0,61 | 0,71 | 2,05 |
| 9 | 16 | 0,82 | 0,83 | 0,67 | 2,32 |
| 10 | 18 | 0,82 | 0,89 | 0,86 | 2,56 |
| 11 | 22 | 1 | 1 | 1 | 3 |
| 12 | 24 | 0,82 | 1 | 1 | 2,82 |
| 13 | 19 | 0,18 | 0,5 | 0,67 | 1,35 |
| 14 | 16 | 0,36 | 0,22 | 0,33 | 0,92 |
| 15 | 16 | 0,64 | 0,5 | 0,24 | 1,37 |
| 16 | 9 | 0 | 0,28 | 0,14 | 0,42 |
| 17 | 4 | 0,18 | 0 | 0,05 | 0,23 |
| 18 | 3 | 0,55 | 0,33 | 0 | 0,88 |
| 19 | 3 | 0,64 | 0,61 | 0,33 | 1,58 |
| 20 | 2 | 0,55 | 0,61 | 0,52 | 1,68 |
| Min | 0,73 | - | - | 0,23 | |
| Zasięg | 0,55 | - | - | 2,77 |
Tabela 2.3 Przykład obliczenia średniej VIMA
1
Cena zamknięcia
Długość VIMA
Długość VIMA
Długość VIMA
Długość VIMA
10
3*
3*
3*
4*
2
Cena zamknięcia
Długość VIMA
Długość VIMA
Długość VIMA
Długość VIMA
11
6*
7*
5*
5*
3
Cena zamknięcia
Długość VIMA
Długość VIMA
Długość VIMA
Długość VIMA
10
-
-
-
-
4
Cena zamknięcia
Długość VIMA
Długość VIMA
Długość VIMA
Długość VIMA
11
-
-
-
-
5
Cena zamknięcia
Długość VIMA
Długość VIMA
Długość VIMA
Długość VIMA
12
-
-
-
6
Cena zamknięcia
Długość VIMA
Długość VIMA
Długość VIMA
Długość VIMA
15
-
-
-
-
7
Cena zamknięcia
Długość VIMA
Długość VIMA
Długość VIMA
Długość VIMA
13
-
-
-
-
8
Cena zamknięcia
Długość VIMA
Długość VIMA
Długość VIMA
Długość VIMA
14
-
-
4**
5**
9
Cena zamknięcia
Długość VIMA
Długość VIMA
Długość VIMA
Długość VIMA
16
5**
-
5**
5**
10
Cena zamknięcia
Długość VIMA
Długość VIMA
Długość VIMA
Długość VIMA
18
6**
6**
5**
5**
11
Cena zamknięcia
Długość VIMA
Długość VIMA
Długość VIMA
Długość VIMA
22
6**
7**
5**
5**
12
Cena zamknięcia
Długość VIMA
Długość VIMA
Długość VIMA
Długość VIMA
24
6**
7**
5**
5**
13
Cena zamknięcia
Długość VIMA
Długość VIMA
Długość VIMA
Długość VIMA
19
4**
5**
4**
4**
14
Cena zamknięcia
Długość VIMA
Długość VIMA
Długość VIMA
Długość VIMA
16
4**
4**
3**
4**
15
Cena zamknięcia
Długość VIMA
Długość VIMA
Długość VIMA
Długość VIMA
16
4**
5**
4**
4**
16
Cena zamknięcia
Długość VIMA
Długość VIMA
Długość VIMA
Długość VIMA
9
3**
3**
3**
4**
17
Cena zamknięcia
Długość VIMA
Długość VIMA
Długość VIMA
Długość VIMA
4
3**
3**
3**
4**
18
Cena zamknięcia
Długość VIMA
Długość VIMA
Długość VIMA
Długość VIMA
3
4**
4**
3**
4**
19
Cena zamknięcia
Długość VIMA
Długość VIMA
Długość VIMA
Długość VIMA
3
4**
5**
4**
4**
20
Cena zamknięcia
Długość VIMA
Długość VIMA
Długość VIMA
Długość VIMA
2
5**
5**
4**
5**
| Dzień | Cena zamknięcia | Długość VIMA | Długość VIMA | Długość VIMA | Długość VIMA |
|---|---|---|---|---|---|
| 1 | 10 | 3* | 3* | 3* | 4* |
| 2 | 11 | 6* | 7* | 5* | 5* |
| 3 | 10 | - | - | - | - |
| 4 | 11 | - | - | - | - |
| 5 | 12 | - | - | - | |
| 6 | 15 | - | - | - | - |
| 7 | 13 | - | - | - | - |
| 8 | 14 | - | - | 4** | 5** |
| 9 | 16 | 5** | - | 5** | 5** |
| 10 | 18 | 6** | 6** | 5** | 5** |
| 11 | 22 | 6** | 7** | 5** | 5** |
| 12 | 24 | 6** | 7** | 5** | 5** |
| 13 | 19 | 4** | 5** | 4** | 4** |
| 14 | 16 | 4** | 4** | 3** | 4** |
| 15 | 16 | 4** | 5** | 4** | 4** |
| 16 | 9 | 3** | 3** | 3** | 4** |
| 17 | 4 | 3** | 3** | 3** | 4** |
| 18 | 3 | 4** | 4** | 3** | 4** |
| 19 | 3 | 4** | 5** | 4** | 4** |
| 20 | 2 | 5** | 5** | 4** | 5** |
*Pary długości
**Długość najlepszej średniej
Rysunek 3. Przykład wykorzystania oscylatora VIMA

Źródło: Opracowanie własne.
Oscylator VIMA generuje sygnały kupna i sprzedaży - rys 4. Linia VIMA jest narysowana w oparciu o najlepsza parę średnich ruchomych. Kolejnym krokiem może być przetestowanie systemu transakcyjnego opartego na przecięciu średnich ruchomych - na podstawie uzyskanych wyników tworzymy mapę skuteczności systemu (odcienie poszczególnych kolorów reprezentują dodatnią lub ujemną stopę zwrotu). Dla punktów położonych pod diagonalną długość średniej ruchomej podlega skróceniu, jeśli cena staje się zbyt wysoka i wydłużona, jeśli spada zbyt nisko. Dla punktów położonych powyżej diagonali obserwujemy odwrotny proces.
Rysunek 4. Przykład zastosowania systemu transakcyjnego w oparciu o oscylator VIMA

Źródło: Opracowanie własne.
Ważnymi parametrami wykorzystywanymi przez analityków przy konstrukcji średnich ruchomych są jeszcze:
- Przesuniecie pionowe (Vertical Shift) - przesuniecie w górę lub w dół średniej ruchomej o x% jej wartości. Np. 10 oznacza przesunięcie średniej o 10% w górę, a -5 obniżenie o 5%. Metoda ta jest wykorzystywana w przypadku budowy tzw. kopert (envelops)[34].
- Przesunięcie poziome (Horizotal Shift) - oznacza liczbę okresów czasowych, o które przesuwamy średnią w przód lub w tył. Np. 5 oznacza przesunięcie średniej o pięć okresów naprzód. Przykładami przesunięcia średnich ruchomych wstecz może być japońska technika inwestycyjna Ichimoku, której polskim tłumaczeniem jest jedno spojrzenie. Średnia opóźniana DL (tzw. Chikou span) jest przesunięta o 26 sesji wstecz, a średnie 1S (Senkou span A) i 2S (Senkou span B) są przesunięte o 26 sesji w przód[35].
Wydaje się, że średnie ruchome nie powiedziały jeszcze ostatniego słowa w analizie technicznej. Można oczekiwać, że w ciągu najbliższych lat będą pojawiać się nowe techniki wykorzystujące proste własności średnich ruchomych.
Bibliografia
- Andersen J. Standard Error Bands, Technical Analysis of Stock & Commodities, September 1996, Volume 14, Number 9.
- Bensignor R. Nowe koncepcje w analizie technicznej, WIG-Press, Warszawa 2004.
- Boomers R. Variable Interval Moving Averages, Technical Analysis of Stock & Commodities, July 2001, Volume 19, Number 7.
- Borowski K. Technika Ichimoku, Rynek Kapitałowy, nr 11/12 2003.
- Borowski K., Nowakowski J. Wykorzystanie ciągów liczbowych w analizie technicznej, Studia i Prace Kolegium Zarządzania i Finansów SGH, zeszyt 20, Warszawa 2001.
- Burns S. Tweaking The T3 trading System - Adaptive Filtering Improves Trading System Results, Technical Analysis of Stock & Commodities, June 2001, Volume 19, Number 6.
- Chandle T., Kroll S. The New Technical Trader, J. Wiley &Sons, New York 1994.
- Chandle T., Beyond Technical Analysis: How To Develop And Implement Winning Trading Systems, J. Wiley &Sons, New York 1997.
- Czekaj J., Woś M., Żarnowski M. Efektywność giełdowego rynku akcji w Polsce, Wydawnictwo Naukowe PWN, Warszawa 2001.
- Dawidowicz A. Prognozowanie i estymacja parametrów szeregów czasowych, materiały z Sympozjum Matematyki Finansowej pt. Instrumenty pochodne, UJ 10-12.04.1997, Kraków.
- Donchian R. Donchian 5- and 20 - Day Moving Averages, Commodities Magazine, December 1974.
- Dormeier B. Buff Up Your Moving Average, Technical Analysis of Stock & Commodities, February 2001, Volume 19, Number 2.
- Ehlers J. Adaptive Trend and Oscillators, Technical Analysis of Stock & Commodities, May 2000, Volume 18, nr 5,
- Ehlers J. Phasor Displays, Technical Analysis of Stock & Commodities, December 2000, Volume 18, nr 12.
- Ehlers J. MESA Adaptive Moving Average, Technical Analysis of Stock & Commodities, September 2001, Volume 19, nr 19.
- Fries C. Elastic Moving Averages, Technical Analysis of Stock & Commodities, June 2001, Volume 19, Number 6.
- Hill H. Using Congestion Area Analysis to Set up for Big Moves, Futures, April 1985.
- Hutson J. Filter Price Data: Moving Averages Versus Exponential Moving Averages, Technical Analysis of Stock & Commodities, May / June 1984, Volume 2, Number 5/6.
- Kaufman P. A Guide to Smarter Trading - Perry Kaufman on Market Analysis, Technical Analysis of Stock & Commodities, June 1995, Volume 13, Number 6.
- Kaufman P. Moving Averages and Trends, w pracy zbiorowej Lofton T. Trading Tactics: A Livestock Futures Anthology, Chicago Mercantile Exchange, Chicago 1986
- Kaufman P. Trading Systems and Methods, J. Wiley &Sons, New York 1998.
- Lambert D. Exponentially Smoothed Moving Averages, Technical Analysis of Stock & Commodities, September / October 1984, Volume 2, Number 9/10.
- Millard B. Moving Averages, First Principle, Technical Analysis of Stock & Commodities, February 1999, Volume 17, Number 2.
- Milo W. Szeregi czasowe, Państwowe Wydawnictwa Ekonomiczne, Warszawa 1990.
- Murphy J. Analiza techniczna, WIG-Press, Warszawa 1999.
- Nikifork R. Trends and Moving Averages, Technical Analysis of Stock & Commodities, December 1998, Volume 16, Number 12.
- Nison S. Świece i inne japońskie techniki analizowania wykresów, WIG-Press, Warszawa 1996.
- Nowakowski J., Borowski K., Chosen applications of Vector Calculus for Capital Market, Studies and Works - College of Management and Finance, Volume 33, Warsaw 2003.
- Nowakowski J., Borowski K. Zastosowanie teorii Carolana i Fischera na rynku kapitałowym, Difin, Warszawa 2005.
- Reyna G. Volume Weighted Average Price, Technical Analysis of Stock & Commodities, May 2001, Volume 19, Number 5.
- Sobczyk M. Statystyka, PWN, Warszawa 1994.
- Tanksley M. Volume - Weighted Average Pricing, Technical Analysis of Stock & Commodities, December 2000, Volume 18, Number 12, str. 32-39.
- Tillson T. Smoothing Techniques for More Accurate Signals, Technical Analysis of Stock & Commodities, January 1998, Volume 16, Number 1.
- White A. The Derivative Moving Average, Technical Analysis of Stock & Commodities, June1996, Volume 14, Number 6.
- White A. Filtering Trades with a Moving Average Slope, Technical Analysis of Stock & Commodities, August 1992, Volume 10, Number 8.
- White A. The Derivative Moving Average, Technical Analysis of Stock & Commodities, June 1996, Volume 14, Number 6.
- Zając K. Zarys metod statystycznych, PWE, Warszawa 1994.
Strony internetowe
- http://www.trader.online.pl/MSZ/e-w-Trend_Analysis_Index.html z dnia 19.02.2005.
- http://www.pldot.com/ z dnia 28.12.2001 r.
Referencje
[1] Z angielskiego: Moving Averages.
[2] Zając K. Zarys metod statystycznych, PWE, Warszawa 1994.
[3] Sobczyk M. Statystyka, PWN, Warszawa 1994.
[4] Milo W. Szeregi czasowe, Państwowe Wydawnictwa Ekonomiczne, Warszawa 1990.
[5] Zagadnienie to zostało omówione m.in. w:
- Millard B. Moving Averages, First Principle, Technical Analysis of Stock & Commodities, February 1999, Volume 17, Number 2., str. 92-97 i 102.
- Nikifork R. Trends and Moving Averages, Technical Analysis of Stock & Commodities, December 1998, Volume 16, Number 12.
- Millard B. Moving Averages, First Principle, Technical Analysis of Stock & Commodities, February 1999, Volume 17, Number 2.
- White A. The Derivative Moving Average, Technical Analysis of Stock & Commodities, June1996, Volume 14, Number 6., str. 18-24,
- White A. Filtering Trades with a Moving Average Slope, Technical Analysis of Stock & Commodities, August 1992, Volume 10, Number 8.
[6] Kaufman P. A Guide to Smarter Trading - Perry Kaufman on Market Analysis, Technical Analysis of Stock & Commodities, June 1995, Volume 13, Number 6, str. 85-97.
[7] Milo W. Szeregi czasowe, Państwowe Wydawnictwa Ekonomiczne, Warszawa 1990 także Dawidowicz A. Prognozowanie i estymacja parametrów szeregów czasowych, materiały z Sympozjum Matematyki Finansowej pt. Instrumenty pochodne, UJ 10-12.04.1997, Kraków.
[8]
[9]
[10] Borowski K., Nowakowski J. Wykorzystanie ciągów liczbowych w analizie technicznej, Studia i Prace Kolegium Zarządzania i Finansów SGH, zeszyt 20, Warszawa 2001.
[11] Hutson J. Filter Price Data: Moving Averages Versus Exponential Moving Averages, Technical Analysis of Stock & Commodities, May / June 1984, Volume 2, Number 5/6 oraz Lambert D. Exponentially Smoothed Moving Averages, Technical Analysis of Stock & Commodities, September / October 1984, Volume 2, Number 9/10.
[12] Donchian R. Donchian 5- and 20 - Day Moving Averages, Commodities Magazine, December 1974.
[13] Szczegółowe omówienia zastosowania ciąu Fibononacciego na rynku kapitałowym można znaleźć m.in. w: Nowakowski J., Borowski K. Zastosowanie teorii Carolana i Fischera na rynku kapitałowym, Difin, Warszawa 2005.
[14] Murphy J. Analiza techniczna, WIG-Press, Warszawa 1999.
[15] Kaufman P. Moving Averages and Trends, w pracy zbiorowej Lofton T. Trading Tactics: A Livestock Futures Anthology, Chicago Mercantile Exchange, Chicago 1986 oraz Hill H. Using Congestion Area Analysis to Set up for Big Moves, Futures, April 1985. Systemem inwestycyjnym wykorzystującym średnie ruchome jako potwierdzenie obecnego trendu jest np. Drummond Geometry - na podstawie strony internetowej: http://www.pldot.com/ z dnia 28.12.2001 r.
[16] Nison S. Świece i inne japońskie techniki analizowania wykresów, WIG-Press, Warszawa 1996.
[17] Jeśli przez MAi,N1oznaczymy wartość średniej ruchomej z N1 sesji, a przez MAi,N2 wartość średniej ruchomej z N2 sesji w momencie czasu i, wtedy wartość oscylatora średnich ruchomych MAi,N1 i MAi,N2 w tym samym momencie czasu jest opisana poprzez zależność: Osci,N1,N2 = MAi,N1 - MAi,N2
gdzie: N1 < N2.
[18] Moving Average Convergence/Diverygence (MACD) - zbieżność/rozbieżność średnich ruchomych. W swojej konstrukcji opiera się na różnicy dwóch ekspotencjalnych średnich ruchomych o różnych okresach. Linią sygnalną jest średnia z wartości samego wskaźnika. Podstawowa interpretacja zakłada generowanie sygnałów na podstawie przebicia przez MACD linii sygnalnej. Przebicie oddolne jest sygnałem kupna, odgórne traktowane jest jako sygnał sprzedaży. Potwierdzeniem sygnałów jest odpowiednie przełamanie poziomu równowagi. Czasem celne wskazówki daje też poszukiwanie dywergencji.
[19] Analiza Fouriera zamienia historyczne dane cenowe w fale sinusoidalne reprezentujące poszczególne cykle. Po uzyskaniu częstości dominujących cykli jesteśmy w stanie stworzyć falę złożoną, będącą sumą fal podstawowych i harmonicznych (Fala harmoniczna to fala sinusoidalna, której częstość jest pewną krotnością fali podstawowej. Np. dla fali podstawowej opisanej równaniem sin ?t, fale harmoniczne to: sin 2?t, sin 3?t, sin 4?t itd. W ogólności będzie to sin n?t, gdzie n należy do liczb naturalnych).
[20] Zagadnienie adaptacyjnych średnich ruchomych zostało omówione w:
Czekaj J., Woś M., Żarnowski M. Efektywność giełdowego rynku akcji w Polsce, Wydawnictwo Naukowe PWN, Warszawa 2001.
Burns S. Tweaking The T3 trading System - Adaptive Filtering Improves Trading System Results, Technical Analysis of Stock & Commodities, June 2001, Volume 19, Number 6., str. 30-37.
Tillson T. Smoothing Techniques for More Accurate Signals, Technical Analysis of Stock & Commodities, January 1998, Volume 16, Number 1.
[21] Transformacja Hilberta określa fazę cyklu dominującego na rynku danego aktywu. Dokładniej technika ta została omówiona m.in. w:
- Nowakowski J., Borowski K., Chosen applications of Vector Calculus for Capital Market, Studies and Works - College of Management and Finance, Volume 33, Warsaw 2003, pp. 9-20,
- Ehlers J. Adaptive Trend and Oscillators, Technical Analysis of Stock & Commodities, May 2000, Volume 18, nr 5,
- Ehlers J. Phasor Displays, Technical Analysis of Stock & Commodities, December 2000, Volume 18, nr 12.
- Kaufman P. Trading Systems and Methods, J. Wiley &Sons, New York 1998. Adaptacyjna średnia ruchoma zmienia się wraz z pewnymi czynnikami rynkowi.
- Chandle T., Kroll S. The New Technical Trader, J. Wiley &Sons, New York 1994.
- Chandle T., Beyond Technical Analysis: How To Develop And Implement Winning Trading Systems, J. Wiley &Sons, New York 1997. Adaptacyjna średnia ruchoma zmienia się W zależności od zachowania określonego indeksu giełdowego.
[22] Ehlers J. MESA Adaptive Moving Average, Technical Analysis of Stock & Commodities, September 2001, Volume 19, nr 19, str. 30-35.
[23] Przykładamy takiej średniej podali m.in.:
- Kaufman P. Trading Ssystems and Methods, J. Wiley &Sons, New York 1998. Średnia ruchoma zmienia się wraz z pewnymi czynnikami rynkowi.
- Chandle T., Kroll S. The New Technical Trader, J. Wiley &Sons, New York 1994 i Chandle T., Beyond Technical Analysis: How To Develop And Implement Winning Trading Systems, J. Wiley &Sons, New York 1997. Średnia ruchoma zmienia się w zależności od zachowania określonego indeksu giełdowego.
[24] Tanksley M. Volume - Weighted Average Pricing, Technical Analysis of Stock & Commodities, December 2000, Volume 18, Number 12, str. 32-39.
[25] Dormeier B. Buff Up Your Moving Average, Technical Analysis of Stock & Commodities, February 2001, Volume 19, Number 2, str. 48-56.
[26] Reyna G. Volume Weighted Average Price, Technical Analysis of Stock & Commodities, May 2001, Volume 19, Number 5, str. 48-56.
[27] Fries C. Elastic Moving Averages, Technical Analysis of Stock & Commodities, June 2001, Volume 19, Number 6, str. 52-56,
[28] W ten sposób uwzględnia się fakt pozostawania znacznej liczby akcji u inwestorów instytucjonalnych.
[29] Z angielskiego Point & Figure - P&F.
[30] Bensignor R. Nowe koncepcje w analizie technicznej, WIG-Press, Warszawa 2004.
[31] White A. The Derivative Moving Average, Technical Analysis of Stock & Commodities, June 1996, Volume 14, Number 6.
[32] Wskaźnik ten mierzy siłę trendu np. poprzez obliczanie aktualnego kąta nachylenia średniej ruchomej. Bardzo często w tym celu wykorzystywany jest Trend Analysis Index (TAI). TAI jest ilorazem różnicy najwyżej i najniższej wartości 28 sesyjnej średniej ruchomej dla ceny zamknięcia w 5 sesyjnym horyzoncie czasowym przez cenę zamknięcia. W opisanym systemie zamknięcie pozycji może nastąpić w momencie, gdy wartość TAI obliczonego dla 28 okresowej zwykłej średniej ruchomej spadnie poniżej 0.004. Strona internetowa: http://trader.online.pl/MSZ/e-w-Trend_Analysis_Index.html z dnia 19.02.2005.
[33] Dokładniej opis obliczenia VIMA przedstawiony został w: Boomers R. Variable Interval Moving Averages, Technical Analysis of Stock & Commodities, July 2001, Volume 19, Number 7, str. 48-54.
[34] Koperty to dwie średnie ruchome przesunięte w górę i w dół o x%. Andersen J. Standard Error Bands, Technical Analysis of Stock & Commodities, September 1996, Volume 14, Number 9., str. 21-29.
[35] Borowski K. Technika Ichimoku, Rynek Kapitałowy, nr 11/12 2003, str. 48-50.
Dr Krzysztof Borowski
Adiunkt
Katedra Bankowości Szkoła Główna Handlowa
Niniejszy materiał, przygotowany przez DM BOŚ S.A. ma charakter wyłącznie informacyjny, prezentowany jest w celach edukacyjnych i nie stanowi porady prawnej oraz nie jest rekomendacją osobistą w ramach świadczenia usługi doradztwa inwestycyjnego zgodnie z przepisami prawa. DM BOŚ S.A. nie udziela gwarancji dokładności, aktualności, oraz kompletności niniejszych informacji. Zaleca się przeprowadzenie we własnym zakresie niezależnego przeglądu informacji z niniejszego materiału.